该项目由清华大学和午夜av
物理研究所研究团队完成。
量子霍尔效应是整个凝聚态物理领域最重要、最基本的量子效应之一。它是一种典型的宏观量子效应,是微观电子世界的量子行为在宏观尺度上的一个完美体现。1980年,德国科学家冯·克利青(Klaus von Klitzing)发现了“整数量子霍尔效应”,并于1985年获得诺贝尔物理奖。1982年,美籍华人物理学家崔琦(Daniel CheeTsui)和施特默(Horst L. Stormer)等又发现了“分数量子霍尔效应”,不久由美国物理学家劳弗林(Rober B. Laughlin)给出理论解释,他们三人分享了1998年诺贝尔物理奖。在量子霍尔效应家族里一个至今尚未被发现的效应是“量子反常霍尔效应”——不需要外加磁场的量子霍尔效应。
“量子反常霍尔效应”是多年来该领域的一个非常困难的重大挑战,它与已知的量子霍尔效应具有完全不同的物理本质,是一种全新的量子效应;同时它的实现也更加困难,需要精准的材料设计、制备与调控。1988年美国物理学家霍尔丹(F. Duncan M. Haldane)提出可能存在不需要外磁场的量子霍尔效应,但是多年来一直未能找到能实现这一特殊量子效应的材料体系和具体物理途径。2010年,中科院物理所方忠、戴希带领的团队与中科院外籍院士张首晟等合作,从理论与材料设计上取得了突破,他们提出Cr或Fe磁性离子掺杂的Bi2Te3、Bi2Se3、Sb2Te3族拓扑绝缘体中存在着特殊的V.Vleck铁磁交换机制,能形成稳定的铁磁绝缘体,是实现量子反常霍尔效应的最佳体系[Science,329,61(2010)]。他们的计算表明,这种磁性拓扑绝缘体多层膜在一定的厚度和磁交换强度下,即处在“量子反常霍尔效应”态。该理论与材料设计的突破引起了国际上的广泛兴趣,许多世界顶级实验室都争相投入到这场竞争中来,沿着这个思路寻找量子反常霍尔效应。
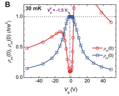
在磁性掺杂的拓扑绝缘体材料中实现“量子反常霍尔效应”,对材料生长和输运测量都提出了极高的要求:材料必须具有铁磁长程有序;铁磁交换作用必须足够强以引起能带反转,从而导致拓扑非平庸的带结构;同时体内的载流子浓度必须尽可能地低。最近,中科院物理所何珂、吕力、马旭村、王立莉、方忠、戴希等组成的团队和清华大学物理系薛其坤、张首晟、王亚愚、陈曦、贾金锋等组成的团队合作攻关,克服了薄膜生长、磁性掺杂、门电压控制、低温输运测量等多道难关,一步一步实现了对拓扑绝缘体的电子结构、长程铁磁序以及能带拓扑结构的精密调控,利用分子束外延方法生长出了高质量的Cr掺杂(Bi,Sb)2Te3拓扑绝缘体磁性薄膜,并在极低温输运测量装置上成功地观测到了“量子反常霍尔效应”。该结果于2013年3月14日在Science上在线发表,清华大学和中科院物理所为共同第一作者单位。
该成果的获得是我国科学家长期积累、协同创新、集体攻关的一个成功典范。前期,团队成员已在拓扑绝缘体研究中取得过一系列的进展,研究成果曾入选2010年中国科学十大进展和中国高校十大科技进展,团队成员还获得了2011年“求是杰出科学家奖”、“求是杰出科技成就集体奖”和“午夜av
杰出科技成就奖”,以及2012年“全球华人物理学会亚洲成就奖”、“陈嘉庚科学奖”等荣誉。该工作得到了科技部、国家自然科学基金委、中科院和教育部等基金资助。

图一:量子反常霍尔效应的示意图,拓扑非平庸的能带结构产生具有手征性的边缘态,从而导致量子反常霍尔效应

图二:理论计算得到的磁性拓扑绝缘体多层膜的能带结构和相应的霍尔电导

图三:在Cr掺杂的(Bi,Sb)2Te3拓扑绝缘体磁性薄膜中测量到的霍尔电阻